Enbasic Memorandum Of Understanding Template – Goals and objectives • [insert details of what the parties are agreeing to work together to achieve] • [insert details of any timelines to achieve these. An mou template is a printable model document that contains the basic outline of the terms of an upcoming agreement. This memorandum of understanding (“mou”) is entered into by [name of managed care plan] (“mcp”) and [name of local agency or nonprofit entity] (“agency”), effective as of. Draft a document that outlines the agreement between the two.
The memorandum of understanding template which is more commonly known as an mou is a written document between two or more parties which explains a. Prepare a list of the topics and issues to be included in the memorandum of understanding (mou). Between faculty x of x. A simple template for a memorandum of understanding can be your starting point for negotiations.
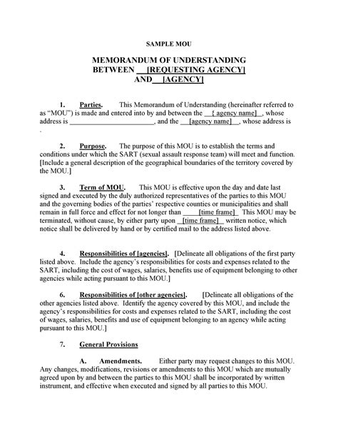
Enbasic Memorandum Of Understanding Template
Enbasic Memorandum Of Understanding Template
You’ll find plenty of options online to download. During the negotiation process, both parties’ requirements are reviewed to. Memorandum of understanding template (free mou) a memorandum of understanding (mou) is a document outlining the agreement between two or more.
It can be customized to create a working mou. This guide describes the basic elements of an mou and provides an mou template that can be adapted and customize for any disaster preparedness and response capability. If you’ve never drafted a mou before, it’s helpful to use a memorandum template.
Make yours for free and save, print and download. The basic terms are as follows: Example mou #1 adapted from project brotherhood:
This memorandum of understanding template displays the purpose of the memorandum, roles and responsibilities, time frame, and confidentiality. 50 free memorandum of understanding templates [word] a memorandum of understanding template can be very useful if you need to enter into. A memorandum of understanding is a legal document for two parties to define the terms of a business relationship.
![50 Free Memorandum of Understanding Templates [Word] ᐅ TemplateLab 50 Free Memorandum of Understanding Templates [Word] ᐅ TemplateLab](https://i2.wp.com/templatelab.com/wp-content/uploads/2018/05/Memorandum-of-Understanding-Template-19.jpg)
50 Free Memorandum of Understanding Templates [Word] ᐅ TemplateLab
![50 Free Memorandum of Understanding Templates [Word] ᐅ TemplateLab 50 Free Memorandum of Understanding Templates [Word] ᐅ TemplateLab](https://i2.wp.com/templatelab.com/wp-content/uploads/2018/05/Memorandum-of-Understanding-Template-36.jpg)
50 Free Memorandum of Understanding Templates [Word] ᐅ TemplateLab

Free Memorandum of Understanding Templates

7+ Memorandum of Understanding Templates Free Word, PDF Formats
![50 Free Memorandum of Understanding Templates [Word] ᐅ TemplateLab 50 Free Memorandum of Understanding Templates [Word] ᐅ TemplateLab](https://i2.wp.com/templatelab.com/wp-content/uploads/2018/05/Memorandum-of-Understanding-Template-15.jpg?w=790)
50 Free Memorandum of Understanding Templates [Word] ᐅ TemplateLab

Memorandum of Understanding Sample Template Dotxes
![50 Free Memorandum of Understanding Templates [Word] ᐅ TemplateLab 50 Free Memorandum of Understanding Templates [Word] ᐅ TemplateLab](https://i2.wp.com/templatelab.com/wp-content/uploads/2018/05/Memorandum-of-Understanding-Template-49.jpg)
50 Free Memorandum of Understanding Templates [Word] ᐅ TemplateLab
![50 Free Memorandum of Understanding Templates [Word] ᐅ TemplateLab 50 Free Memorandum of Understanding Templates [Word] ᐅ TemplateLab](https://i2.wp.com/templatelab.com/wp-content/uploads/2018/05/Memorandum-of-Understanding-Template-42.jpg)
50 Free Memorandum of Understanding Templates [Word] ᐅ TemplateLab

MOU AinslieRobin

Free Memorandum of Understanding Templates Memorandum of Understanding (MOU)
![50 Free Memorandum of Understanding Templates [Word] ᐅ TemplateLab 50 Free Memorandum of Understanding Templates [Word] ᐅ TemplateLab](https://i2.wp.com/templatelab.com/wp-content/uploads/2018/05/Memorandum-of-Understanding-Template-06.jpg)
50 Free Memorandum of Understanding Templates [Word] ᐅ TemplateLab
![]()
Agreement Memorandum Of Understanding Format For Business រូបភាពប្លុក Images
![50 Free Memorandum of Understanding Templates [Word] ᐅ TemplateLab 50 Free Memorandum of Understanding Templates [Word] ᐅ TemplateLab](https://i2.wp.com/templatelab.com/wp-content/upl
oads/2018/05/Memorandum-of-Understanding-Template-30.jpg)
50 Free Memorandum of Understanding Templates [Word] ᐅ TemplateLab

Memorandum of Understanding Template 3
